Bilangan berpangkat
pangkat suatu bilangan adalah perkalian suatu bilangan secara berulang dengan bilangan itu sendiri
Bentuk : An = a x a x … x a = b
a : bilangan pokok
n : pangkat
b : hasil dari perpangkatan
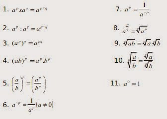
Rumus
Am x an = am+n
Am : an = am/ an = am-n
(am)n = a mxn
(axb)m = am x bm
(a.b)n = an/bn
A0=1
Contoh :
-24 = -2 x -2 x -2 x -2 = 16
-(2)4 = -(2.2.2.2)= -16
(2/3)3 = 2/3 x 2/3 x 2/3 = 8/27
Bilangan Berpangkat dan Bentuk Akar
* Bilangan Berpangkat
Pangkat suatu bilangan adalah perkalian suatu bilangan secaraberulang dengan bilangan itu sendiri.

* Sifat sifat bilangan berpangkat
Contoh :
* Akar
Contoh :
Pola, Baris, Deret
*Pola
Pola bilangan dapat diartikan sebagai susunan bilangan yang memiliki keteraturan.
Dalam matematika dikenal beberapa jenis pola bilangan antara lain :
1. Pola bilangan ganjil adalah 1, 3, 5, 7…..
Rumus urutan ke n : 2n-1
2. Pola bilangan genap adalah 2, 4, 6, 8…..
Rumus urutan ke n : 2n
Jumlahdari n bilangan genap pertama adalah n(n+1)
3. Pola bilangan segitiga adalah 1, 3, 6, 10….
Rumus urutan ke n : n(n+1)
2
4. Pola bilangan persegi adalah 1, 4, 9, 16….
Rumus urutan ke n : n2
5. Pola bilangan persegi panjang adalah 2, 6, 12, 20….
Rumus urutan ke n : n(n+1)
6. Pola bilangan segitiga pascal
Rumus jumlah bilangan baris n : 2n-1
*Baris
Rumus suku ke n : Un = b . n + ….. atau Un = b . n – …..
a. Barisan aritmatika
Rumus beda deret baru : b1 = b
k+1
Contoh :
* Deret
Deret Geometri adalah deret dengan rasio antar 2 suku yang berurutan selalu tetap.


Rumus jumlah n =>

<= Rumus rasio deret baru
Contoh :
Perbandingan Bertingkat
Perbandingan adalah membandingkan dua nilai atau lebih dai suatu besaran yang sejenis dan dinyatakan dengan cara sederhana.
* Perbandingan senilai/seharga
Adalah perbandingan dua besaran dimana jika suatu besaran makin besar maka besaran lain juga semakin besar atau sebaliknya.
Rumus :

Contoh :

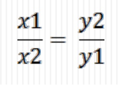
* Perbandingan berbalik nilai atau harga
Adalah perbandingan dua besaran, dimana jika suatu besaran makin besar maka besaran yang lain akan semakin kecil atau sebaliknya.
Rumus :

